The University of Texas MD Anderson Cancer Center is one of the most recognized cancer research and treatment institutions in the world. For decades it has stood at the forefront of oncology, attracting top scientific talent, billions of dollars in federal and philanthropic funding, and the trust of cancer patients everywhere. Its stated mission—"Making Cancer History" carries an implicit promise: that the institution will pursue scientific excellence with integrity, accountability, and an unwavering commitment to the public good.
This report, compiled by a coalition of current and former MD Anderson employees, researchers, and administrators, presents evidence that the institution has fallen critically short of that promise. The authors have chosen to remain anonymous due to what they describe as a pervasive culture of fear and retaliation one in which individuals who speak out against misconduct face threats to their careers, their livelihoods, and their personal well-being.
At the center of the allegations is Dr. Padmanee Sharma, a professor of Genitourinary Medical Oncology, director of scientific programs at the James P. Allison Institute, and the wife of Nobel laureate Dr. James Allison. The report alleges that Dr. Sharma has presided over a pattern of workplace harassment, research misconduct, nepotism, and obstruction of scientific progress enabled by her marriage to Dr. Allison, a complicit administrative apparatus, and senior leadership that repeatedly chose institutional reputation over accountability.
The scope of the allegations extends well beyond any single individual. The report documents how HR staff allegedly covered up complaints; how senior faculty were informed of ongoing abuse but failed to intervene; how internal investigations were allegedly biased toward the accused rather than the complainants; and how the MD Anderson Board of Regents, the State of Texas, and federal oversight bodies all failed to act despite mounting evidence of systemic dysfunction.
The report situates these failures within a broader historical pattern at MD Anderson including the controversial tenure and 2017 resignation of former President Ronald DePinho amid financial and ethical scandals and draws parallels to governance crises at other major academic medical centers, such as the University of Southern California's handling of the Dr. George Tyndall case.
The human cost documented in this report is substantial: staff members who suffered panic attacks and emergency room visits linked to workplace stress; junior researchers whose careers were allegedly derailed; a culture of collaboration replaced by one of fear and self-preservation. The institutional cost is equally severe: constant faculty turnover, a $43 million operating loss in fiscal year 2024, reputational damage from ongoing litigation, and the suppression of potentially life-saving cancer research.
This companion document provides a plain-language introduction to the report's findings and an extensive FAQ designed to help readers including congressional staff, journalists, and the public—navigate the key allegations, understand the evidence presented, and grasp why the authors believe immediate congressional oversight is necessary.
The report calls on Congress to convene a hearing within 90 days, mandate an independent audit of MD Anderson's leadership and financial practices, and establish whistleblower protections for employees at federally funded research institutions.
This report, meticulously compiled by a coalition of concerned individuals deeply invested in the integrity of the University of Texas MD Anderson Cancer Center, exposes a profound crisis of leadership and ethical governance at one of the world's preeminent cancer research institutions. The authors, comprising former and current employees, researchers, and administrators, have chosen anonymity due to the pervasive culture of fear and retribution that has taken root at MD Anderson.
The environment within the institution has deteriorated to such an extent that individuals who speak out against misconduct face severe retaliation, including threats to their careers and personal well-being. This toxic atmosphere has necessitated the protection of many identities to ensure that the truth about MD Anderson's systemic failures can be brought to light without further harm to those who seek justice.
At the heart of this crisis is a deeply broken institution where Dr. Padmanee Sharma, Scientific Director of the Immunotherapy Platform (IMT), has emerged as the primary driver of widespread misconduct, setting a tone of abuse and ethical lapses that has permeated MD Anderson. Under her leadership, a culture of harassment, research misconduct, and obstruction has flourished, involving a network of individuals who are not merely complicit but active participants in perpetuating these wrongs.
Dr. James Allison, Sharma's husband and a Nobel laureate, has facilitated this behavior through his influential role, leveraging his prestige to shield Sharma and amplify her unchecked power. This network includes figures such as Dr. Sumit K. Subudhi, who has engaged in aggressive bullying; administrative staff like Tatianna Robles, Ginger Araujo, and Tiffany Razzo, who have covered up abuses; and senior faculty like Dr. Paul Corn and Dr Nizar M. Tannir, who have failed to intervene, thereby becoming part of the problem.
Critically, this pervasive misconduct has been allowed to fester due to the complete failure of oversight by the MD Anderson Board of Regents, the State of Texas, and the Federal Government, all of which have neglected their responsibilities to ensure ethical governance and accountability at an institution entrusted with public funds and the lives of cancer patients worldwide.
This committee is urged to convene a congressional hearing within 90 days to examine these allegations, mandate an independent audit of MD Anderson's leadership and financial practices, and establish whistleblower protections to encourage further testimony.
MD Anderson Cancer Center's current crisis is not an isolated incident but rather the culmination of over a decade of governance failures that have eroded its foundational integrity. In 2017, President Ronald DePinho resigned following a series of financial missteps, including a $267 million operating loss and a failed $62 million partnership with IBM Watson, as documented in a University of Texas System audit reported by The Wall Street Journal in 2017.
DePinho's tenure was further marred by allegations of conflicts of interest involving pharmaceutical companies, a pattern that set a troubling precedent for ethical lapses. The New York Times reported in 2015 that the American Association of University Professors censured MD Anderson for violations of academic freedom during tenure disputes, highlighting a culture of administrative overreach.
Len Zwelling, a former MD Anderson administrator, wrote in a 2024 blog post that the DePinho era exposed a profound lack of accountability among senior leadership, creating fertile ground for the abuses we witness today. These historical failures have fostered an environment where figures like Dr. Padmanee Sharma can operate without scrutiny, shielded by institutional prestige and a lack of robust oversight.
Dr. Padmanee Sharma, a professor of Genitourinary Medical Oncology and director of scientific programs at the James P. Allison Institute, stands at the center of MD Anderson's current crisis. While Dr. Sharma has contributed to advancements in immunotherapy, her pattern of misconduct—documented extensively in the appendices—has caused irreparable harm to MD Anderson's mission and its staff.
Key Individuals Implicated:
Complicit Administrators:
Criminal Acts: Workplace Harassment and Retaliation
Dr. Sharma's actions have crossed legal thresholds, constituting workplace harassment and retaliation in violation of federal labor laws. The appendices provide extensive evidence of a pervasive culture of intimidation at MD Anderson:
The crisis at MD Anderson not only jeopardizes its mission but also undermines national efforts to advance cancer research, erodes public trust in federally funded medical institutions, and raises serious questions about the stewardship of taxpayer dollars.
MD Anderson's mission to eradicate cancer has been gravely undermined by these actions, which have not only harmed employees but also delayed critical advancements in cancer treatment. This report situates these failures within the broader context of systemic governance issues at MD Anderson, drawing on historical scandals and recent analyses by esteemed organizations such as the National Academy of Medicine (NAM).
This committee is urged to take the following actions:
Dr. Padmanee Sharma's tenure at MD Anderson Cancer Center represents a profound betrayal of scientific integrity and ethical leadership. Her criminal acts—workplace harassment, retaliation, and potential discriminatory dismissals—violate federal laws and demand legal accountability.
The stakes are nothing less than the lives of cancer patients worldwide. MD Anderson's legacy, once a beacon of hope, now serves as a cautionary tale of what happens when power goes unchecked in academic medicine. This committee must act swiftly to mandate an independent investigation into MD Anderson's leadership, focusing on Sharma's actions and the complicity of HR and senior staff.
The following appendices contain evidentiary documents, photos, and screenshots supporting the allegations above.
It is also worth reading the blog of Dr. Leonard Zwelling, the former Vice President for Research Administration at M.D. Anderson, for all his inside information on MD Anderson, but his recent post on June 24, 2025 summarizes the decline of the institution.


This Daily Mail article from May 5, 2024 tipped the scales at MD Anderson, exposing some of the behavior of Dr. Padmanee Sharma and her minions. Other behavior was alluded to, and it was only the tip of the iceberg.












Timeline of Harassment and Intimidation Against Jasmine Gascar and Kevin Lagman
The timeline provides a chronological summary of key incidents and complaints at MD Anderson, as recounted by Jasmine Gascar herself, documenting her experiences with harassment and leadership failures.
April 2019 - First month of employment:
-First meeting with Dr. Sumit Subudhi: He was aggressive, banging on the desk, and abruptly cut me off when I tried to ask any questions, responding with “You obviously don’t know what you are doing if you are asking me those questions.” He also sent messages about how dumb his AA’s (Administrative Assistants) were to his nurse practitioner, Kevin Lagman, my first week which was very intimidating.

-First travel coordination handed off to me for Dr. Subudhi, initiated by his previous assistant: Hotel was not confirmed and he arrived to no hotel room and called me yelling and berating me. He followed up with a text: “Know that I am furious!!!” He also followed up with an email to another physician referencing my mistake and how pissed he was about it. I felt humiliated. Reported all of this to my supervisor and nothing was done.
June 2019 - HR/Legal Office called me into their office to investigate Dr. Subudhi for aggressive behaviors towards another employee.

-After this interview, Dr. Subudhi started acting retaliatory towards me and his clinic team. I reported this to the HR/Legal office - nothing was done.


-Simultaneously, his nurse practitioner, Kevin Lagman, sent this note to his supervisor (And later HR) indicating that he felt there was retaliatory behavior due to his cooperation with the HR/Legal Office investigation of Dr. Subudhi:

-Myself and the clinic team are called into a meeting by leadership with Dr. Subudhi so he could “apologize” for his behavior. Nothing changed, this was all for optics.
-Kevin had to send this document to Kevin’s manager to try defend himself after the terrible email Dr. Subudhi sent to all of leadership trying to justify his behavior towards Kevin.

This is the retaliatory email Dr. Subudhi sent trying to ruin Kevin’s reputation AFTER we cooperated with the interviews. Conditions continued to deteriorate after this.
September 2019 - I was assigned to Dr. Sharma. Immediately I was warned about Dr. Sharma’s aggressive behavior by Tatianna Robles, Department Administrator.
February 2020 – Kevin Lagman Panic Attack
-My supervisor, Tiffany Razzo, and Administrative Director, Ginger Araujo, say they will meet with the Chair. Tatianna finds out about the meeting and cancels it. Kevin has a panic attack, breakdown after Dr. Subudhi’s abusive behavior. MD Anderson police are called to intervene.
March 2020 - Email complaints sent to HR and Ombuds.



April 2020 - Leadership begins sending emails of support for Dr. Subudhi. I witness a conversation with Dr. Sharma and dept leadership indicating leadership needs to do whatever is necessary to “protect Dr. Subudhi”.
June 2020 - Formal email complaints start being sent by me and my colleagues to Department Leadership. Retaliatory behavior begins soon after.
July 2020 - Tatianna tries to manipulate me into accepting another apology from Dr. Subudhi.
I decline without HR present. I go into the office to do the lab coats and Dr. Subudhi approaches me and begins apologizing anyway. I send an email to Tatianna Robles, documenting and copy HR and dept leadership.
Email to Tatianna Robles documenting the abuse (see Appendix C: Gascar-Robles email exchange, July 27-29, 2020)
Winter 2020-2021 - I inform my supervisor and Dr. Subudhi and Sharma that I am removing myself from their teams as I do not feel safe any longer.



January 2021 - Formal email complaints are sent to Division leadership. HR Gets involved and intimidates us into silence.
Collective email complaints detailing CV incident with Sharma




February 2021 - I finally had to put in my notice because my mental health was suffering. Mass exodus of the rest of my colleagues followed.
Two Houston Chronicle Article published on February 9, 2024 and February 16, 2024 reported on Sharma’s attempt to take credit for Dr. Jamie Lin work and the subsequent lawsuit that ensued. See below the February 16, 2024, article.






















This is a report submitted to the House Committee on Energy and Commerce and the Senate Health, Education, Labor, and Pensions Committee on September 29, 2025. It was compiled by a coalition of current and former MD Anderson employees who allege systemic governance failures, workplace harassment, research misconduct, and institutional cover-ups at the University of Texas MD Anderson Cancer Center.
Q2: Why is this report directed at Congress?MD Anderson receives substantial federal funding through the National Institutes of Health (NIH) and operates as a publicly funded institution within the University of Texas System. The authors argue that the MD Anderson Board of Regents, the State of Texas, and federal agencies have all failed in their oversight responsibilities, making congressional intervention the appropriate next step. They cite the precedent of the USC/Tyndall case, where federal oversight led to a $215 million settlement and meaningful governance reforms.
Q3: What is MD Anderson Cancer Center?MD Anderson is consistently ranked as one of the top cancer research and treatment hospitals in the United States. Based in Houston, Texas, it is part of the University of Texas System. The institution has annual revenues of approximately $10 billion and receives millions of dollars each year in federal research grants. It is known globally for its pioneering work in immunotherapy and other cancer treatments.
Key Individuals Q4: Who is Dr. Padmanee Sharma?Dr. Sharma is a professor of Genitourinary Medical Oncology at MD Anderson and the Scientific Director of the Immunotherapy Platform (IMT). She is married to Dr. James Allison, who won the Nobel Prize in Physiology or Medicine in 2018 for his work on cancer immunotherapy. The report places Dr. Sharma at the center of allegations involving workplace harassment, research misconduct, nepotism, and obstruction of scientific progress.
Q5: Who is Dr. James Allison, and what is his role?Dr. James Allison is a Nobel laureate and the namesake of the James P. Allison Institute at MD Anderson. He is Dr. Sharma's husband. The report alleges that Dr. Allison has leveraged his prestige and fundraising success to shield Dr. Sharma from accountability, creating a power dynamic in which ethical oversight has been sacrificed to preserve the Allison-Sharma brand.
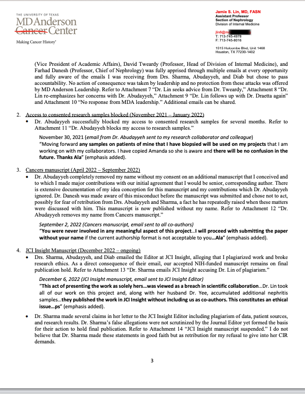
Q6: Who is Dr. Jamie Lin?Dr. Jamie Lin is a junior researcher at MD Anderson who specializes in kidney cancers. She filed a lawsuit against Dr. Sharma alleging that Sharma demanded senior authorship on a research manuscript despite negligible contributions, and then sabotaged Lin's career when Lin refused. Lin also wrote a detailed letter to the NIH in March 2023 documenting 18 months of alleged harassment, threats, and obstruction by Sharma and associated faculty members. An independent expert, Dr. Alan Price (former Associate Director for Investigative Oversight at the Office of Research Integrity, HHS), reviewed the case and found no basis for the plagiarism allegations made against Dr. Lin.
Q7: Who is Dr. Sumit K. Subudhi?Dr. Subudhi is described in the report as Dr. Sharma's deputy. Multiple accounts allege that he engaged in aggressive bullying, desk-banging, verbal tirades, and intimidation of both administrative staff and clinical personnel. His behavior allegedly led to a nurse practitioner, Kevin Lagman, suffering a panic attack so severe that MD Anderson police were called to intervene in February 2020.
Q8: Who are the other key figures mentioned?The report names several categories of individuals: victims of misconduct (Shalini Yadav, Luis Vence, Jasmine Gascar, Kevin Lagman, Dr. Jamie Lin); administrators allegedly complicit in covering up complaints (Tatianna Robles, Ginger Araujo, Tiffany Razzo); senior faculty who allegedly failed to act (Dr. Paul Corn, Dr. Nizar M. Tannir, Max Weber, Giulio Draetta, Caren Hagberg, Anne Tsao, David Tweardy, Farhad Danesh); and family members hired under allegedly questionable circumstances (Larry Persaud, Sharma's ex-husband, and Ashura Khan, her cousin).
The Allegations Q9: What are the main categories of alleged misconduct?The report organizes the allegations into two broad categories. First, criminal acts: workplace harassment, verbal abuse and public humiliation, retaliation against complainants, and physical altercations requiring security intervention. Second, ethical violations: research misconduct (including demands for unearned authorship credit), nepotism (hiring family members with vague job descriptions), obstruction of NIH-funded research, blocking access to consented research samples, and conflicts of interest.
Q10: What specific harassment is alleged?The report describes a pattern of behavior spanning years. Dr. Subudhi allegedly banged on desks, berated staff, and belittled administrative employees. Dr. Sharma allegedly publicly humiliated an administrative assistant (referred to as 'G' in media reports, later identified as Jasmine Gascar) over a CV update, denying her breaks and causing stress-induced panic attacks mistaken for a heart attack. Gascar's July 2020 email to administrator Tatianna Robles, included in the appendices, details these experiences extensively. The report also describes a February 2020 incident in which police were called after Dr. Subudhi's behavior caused a nurse practitioner to have a breakdown.
Q11: What is the authorship dispute involving Dr. Jamie Lin?In August 2021, Dr. Lin was preparing to submit a manuscript on tertiary lymphoid structures to the journal Cancer Immunology Research. Dr. Sharma allegedly demanded senior corresponding author credit despite not having contributed substantively to the work, and threatened Lin's career if she refused. When Lin declined, Sharma, along with Dr. Ala Abudayyeh and Dr. Adi Diab, allegedly retaliated by falsely accusing Lin of plagiarism, placing an NIH-funded manuscript on hold at JCI Insight, and obstructing three of Lin's manuscripts. Dr. Alan Price, a nationally recognized expert in research misconduct investigations, reviewed the allegations and concluded there was no basis for the plagiarism claims.
Q12: What nepotism is alleged?The report alleges that Dr. Sharma and Dr. Allison hired family members within the Immunotherapy Platform, including Larry Persaud (Sharma's ex-husband) and Ashura Khan (her cousin), with vague job descriptions. The report states this violates MD Anderson's Standards of Conduct, which prohibit conflicts of interest. The former Chair of Genitourinary Oncology, Chris Logothetis, reportedly resigned citing 'financial malfeasance' within the IMT.
Q13: How many formal complaints were filed?According to internal HR records cited in the report (obtained anonymously), over 50 formal complaints of bullying and harassment were filed against Dr. Sharma and her team between 2019 and 2023, with no documented disciplinary action taken.
Q14: What role did HR play?The report alleges that HR staff specifically Tatianna Robles, Ginger Araujo, and Tiffany Razzo-actively covered up abuses. Gascar's email states that Araujo told her to find another job after she reported abuse, and that Robles attempted to arrange an unofficial meeting between Gascar and Subudhi without HR present, which Gascar characterized as harassment. The report alleges that HR's handling of complaints consistently prioritized protecting senior faculty over addressing legitimate grievances.
Institutional and Research Impact Q15: How has this affected MD Anderson as an institution?The report describes several categories of institutional harm: erosion of morale and talent through constant faculty turnover since 2015; financial strain including a $43 million operating loss through March 2025; reputational damage from ongoing lawsuits and media coverage; and a suppression of the collaborative culture essential to cancer research. A former senior executive, Len Zwelling (former Vice President for Research Administration), wrote in a June 2025 blog post that the institution has regressed significantly under current leadership.
Q16: Has cancer research been affected?The report argues that yes, Dr. Sharma's conduct has delayed critical advancements in cancer treatment. By allegedly prioritizing her own lab's therapies, obstructing competing research, and blocking access to research samples, the report contends that the integration of new discoveries into clinical practice has been slowed. The Hastings Center's 2024 report on ethical implications of bottlenecks in research processes is cited as supporting context.
Q17: What are the financial implications?The report presents a table of MD Anderson's operating losses: $10 million in 2020 (COVID-related), $1.6 million in 2023, and $43 million in 2024. It connects the recent losses to declining patient volumes, escalating operational costs, and heavy investment in immunotherapy ventures led by Sharma. The report also notes that Dr. Sharma's lab received over $15 million in NIH grants between 2020 and 2024, raising questions about potential bias in funding allocation given her role in NIH study sections.
Q18: Is the NIH implicated?The report raises concerns that the NIH's investigative processes may have been compromised. It alleges that complaints against Sharma were met with investigations focused on the complainants rather than the accused, with key NIH figures including Dr. Michael Lauer (Deputy Director for Extramural Research) and Dr. Monica Bertagnolli (NIH Director) being informed of concerns. The report also flags potential conflicts of interest in funding decisions given Sharma's involvement in NIH study sections.
Legal and Oversight Questions Q19: What lawsuits are currently pending?The report references Dr. Jamie Lin's lawsuit against Dr. Sharma for slander and defamation, seeking $5 million in damages. This case has been the subject of a sovereign immunity challenge, with the Texas Attorney General arguing that the case should be directed against MD Anderson as an institution rather than Dr. Sharma as an individual. The case (Sharma v. Lin, No. 01-24-00730-CV) has reached the Texas Court of Appeals. Additionally, researcher Sonia Melo has filed a separate lawsuit alleging that MD Anderson violated its own policies during an investigation into her research.
Q20: What is the sovereign immunity issue?Dr. Sharma, as an employee of a state-funded institution, has claimed sovereign immunity from Dr. Lin's lawsuit. The Texas Attorney General has intervened on her behalf, arguing that cases should be filed against MD Anderson rather than individual employees. Dr. Lin's attorney from Holland & Knight is challenging this position, potentially creating a significant legal precedent regarding accountability for individual misconduct at state institutions.
Q21: What federal laws may have been violated?The report alleges potential violations of the Occupational Safety and Health Act (OSHA) for creating a hostile work environment; the Civil Rights Act through potentially discriminatory dismissals; federal research integrity regulations under 42 CFR Part 93 (governing research misconduct at NIH-funded institutions); and general federal requirements for ethical stewardship of taxpayer-funded research dollars.
Q22: Why hasn't the Office of Research Integrity (ORI) acted?The report highlights a gap in ORI enforcement. While ORI is tasked under 42 CFR Part 93 with overseeing research misconduct at NIH-funded institutions, MD Anderson's failure to investigate Sharma's actions has not triggered ORI intervention. The report cites a 2024 Government Accountability Office (GAO) report calling for stricter accountability measures in federal research oversight.
Requested Reforms and Next Steps Q23: What does the report ask Congress to do?The report makes five specific requests: (1) Convene a congressional hearing within 90 days to examine the allegations, followed by an independent audit of MD Anderson's leadership, financial practices, and HR processes; (2) Establish federal whistleblower protections for employees at NIH-funded institutions, including anonymous reporting channels and legal safeguards against retaliation; (3) Require mandatory annual ethics and governance training at MD Anderson, overseen by an independent monitor; (4) Amend the Public Health Service Act to mandate annual ORI audits of NIH-funded institutions; (5) Direct the State of Texas to review the MD Anderson Board of Regents' oversight practices and replace members who failed to act.
Q24: Is there precedent for this kind of congressional intervention?Yes. The report draws a direct parallel to the 2018 University of Southern California scandal involving Dr. George Tyndall, where federal oversight by the Department of Education led to a $215 million settlement, mandatory governance reforms, the establishment of an independent ombudsman, and significant leadership changes. The authors argue that a similar intervention could restore integrity at MD Anderson.
Q25: What evidence supports these allegations?The report includes seven appendices containing: (A) a blog post by Len Zwelling, former VP of Research Administration, documenting institutional decline; (B) the May 2024 Daily Mail investigative article detailing the bullying scandal; (C) Jasmine Gascar's July 2020 email exchange with administrator Tatianna Robles, providing a firsthand account of harassment and HR complicity; (D) a detailed timeline of documented harassment against Gascar and Kevin Lagman, including screenshots of text messages, emails to HR, and descriptions of the February 2020 police incident; (E) Houston Chronicle articles on the authorship dispute; (F) Dr. Jamie Lin's March 2023 letter to the NIH; and (G) Dr. Alan Price's expert review finding no basis for plagiarism allegations against Dr. Lin.
Q26: What can the public do?The report is designed to inform congressional committees and encourage legislative action. Members of the public can contact their representatives to express support for hearings and oversight; follow media coverage of the ongoing litigation and institutional developments; and support whistleblower protection legislation for federally funded research institutions. The authors also note that numerous additional potential whistleblowers exist whose testimonies could further illuminate the situation if proper protections were established.
Q27: Has MD Anderson responded to these allegations?According to media reports cited in the appendices, MD Anderson has stated that it 'does not comment on internal employee matters or pending litigation' and that it has 'established processes for addressing concerns filed by any MD Anderson employee.' The report disputes the adequacy of these processes, citing the over 50 formal complaints with no documented disciplinary outcomes and the experiences of multiple staff members who allege their concerns were dismissed or turned against them.
Historical Context Q28: What is the history of governance issues at MD Anderson?The report traces a pattern extending back over a decade. In 2017, President Ronald DePinho resigned following a $267 million operating loss, a failed $62 million partnership with IBM Watson, and allegations of conflicts of interest with pharmaceutical companies. In 2015, the American Association of University Professors censured MD Anderson for violations of academic freedom. Former administrator Len Zwelling has written extensively about how the DePinho era created a profound lack of accountability among senior leadership, establishing the conditions under which the current allegations could emerge.
Q29: How does this compare to problems at other institutions?The report draws parallels to systemic issues identified by the National Academy of Medicine (NAM) in a 2023 report, which found that academic medical institutions often prioritize prestige and revenue over ethical governance, enabling cultures where misconduct can flourish. The USC/Tyndall case, where institutional leadership ignored complaints for years to protect reputation, is presented as the closest parallel and a model for how federal intervention can drive meaningful reform.
Documented events involving allegations of workplace harassment, research misconduct, nepotism, and institutional failures at the University of Texas MD Anderson Cancer Center.
2015
AAUP Censures MD Anderson
The American Association of University Professors (AAUP) censures MD Anderson Cancer Center for violations of academic freedom, marking one of the earliest public signals of governance dysfunction at the institution.
2015 – 2017
Faculty Turnover Begins Under the Immunotherapy Platform
Staff within the Immunotherapy Platform (IMT), led by Dr. Padmanee Sharma, begin leaving at an accelerating rate. Former employees later describe a culture of fear, verbal abuse, and intimidation led by Dr. Sharma and her deputy, Dr. Sumit K. Subudhi.
March 2017
President Ronald DePinho Resigns
MD Anderson President Ronald DePinho resigns following a $267 million operating loss, a failed $62 million partnership with IBM Watson, and allegations of conflicts of interest with pharmaceutical companies. His departure exposes deep governance failures that former VP of Research Administration Len Zwelling later describes as setting the conditions for the current crisis.
October 2018
Dr. James Allison Wins the Nobel Prize
Dr. James Allison, husband of Dr. Padmanee Sharma, is awarded the Nobel Prize in Physiology or Medicine for his work on cancer immunotherapy. The report alleges that the prestige and fundraising power associated with the Nobel Prize further insulates Sharma from accountability for her conduct within the IMT.
2019
First Wave of HR Complaints Filed
Employees within the IMT begin filing formal complaints of bullying and harassment against Dr. Sharma and Dr. Subudhi with MD Anderson's Human Resources department. Internal records later obtained anonymously indicate that over 50 complaints would be filed between 2019 and 2023, with no documented disciplinary action taken.
2019
Shalini Yadav and Luis Vence Report Misconduct
Researchers Shalini Yadav and Luis Vence report concerns about conduct within the IMT. Their complaints are among the earliest formal reports. The report alleges their concerns were not adequately addressed by MD Anderson leadership.
February 2020
Police Called After Subudhi Incident with Nurse Practitioner
Dr. Subudhi's behavior causes nurse practitioner Kevin Lagman to suffer a panic attack so severe that MD Anderson police are called to intervene. This incident becomes one of the most documented examples of workplace abuse cited in the report, including text messages and contemporaneous accounts from witnesses.
2020
Jasmine Gascar Experiences Harassment
Administrative assistant Jasmine Gascar (referred to as "G" in later media reports) experiences sustained harassment from Dr. Sharma, including public humiliation over a CV update, denial of breaks, and stress-induced panic attacks initially mistaken for a heart attack. When Gascar reports the abuse to HR representative Ginger Araujo, she is allegedly told to find another job.
July 2020
Gascar Sends Detailed Email to Administrator Tatianna Robles
Jasmine Gascar sends a lengthy email to administrator Tatianna Robles documenting her experiences of harassment and HR's failure to act. She describes Robles' attempt to arrange an unofficial meeting between Gascar and Subudhi without HR present, which Gascar characterizes as further harassment. This email is later included as an appendix in the congressional report.
2020
MD Anderson Reports $10 Million Operating Loss
MD Anderson reports a $10 million operating loss for fiscal year 2020, attributed primarily to COVID-19. This is the beginning of a trend of financial losses documented in the report.
August 2021
Dr. Sharma Demands Authorship on Dr. Jamie Lin's Manuscript
Dr. Jamie Lin, a junior researcher specializing in kidney cancers, prepares to submit a manuscript on tertiary lymphoid structures to Cancer Immunology Research. Dr. Sharma allegedly demands senior corresponding author credit despite not having contributed substantively to the work, and threatens Lin's career if she refuses. Lin declines to add Sharma's name.
Late 2021
Retaliation Campaign Against Dr. Lin Begins
Following Lin's refusal, Dr. Sharma, along with Dr. Ala Abudayyeh and Dr. Adi Diab, allegedly retaliate by falsely accusing Lin of plagiarism, placing an NIH-funded manuscript on hold at JCI Insight, and obstructing three of Lin's manuscripts. This campaign of alleged retaliation continues for approximately 18 months.
2021
Nepotism Concerns Raised
Concerns emerge about the hiring of Dr. Sharma's ex-husband Larry Persaud and her cousin Ashura Khan within the Immunotherapy Platform, both with reportedly vague job descriptions. The former Chair of Genitourinary Oncology, Dr. Chris Logothetis, reportedly resigns citing "financial malfeasance" within the IMT.
March 2023
Dr. Jamie Lin Writes Detailed Letter to the NIH
Dr. Lin sends a comprehensive letter to the National Institutes of Health documenting 18 months of alleged harassment, threats, and obstruction by Dr. Sharma and associated faculty members. The letter details specific incidents of retaliation and research obstruction involving NIH-funded work. Key NIH officials, including Dr. Michael Lauer (Deputy Director for Extramural Research) and Dr. Monica Bertagnolli (NIH Director), are informed of concerns.
2023
MD Anderson Reports $1.6 Million Operating Loss
MD Anderson reports a $1.6 million operating loss for fiscal year 2023, continuing a trend of financial decline. The report connects the losses to declining patient volumes, escalating operational costs, and heavy investment in immunotherapy ventures led by Dr. Sharma.
2023
Dr. Jamie Lin Files Lawsuit Against Dr. Sharma
Dr. Lin files a lawsuit against Dr. Sharma for slander and defamation, seeking $5 million in damages. The lawsuit alleges that Sharma demanded unearned authorship credit and then sabotaged Lin's career when she refused.
February 8, 2024
STAT News Publishes First Major Investigation
STAT News publishes "A junior scientist. A prominent oncologist. Now, a clash at MD Anderson over who gets research credit," the first major media investigation into the authorship dispute between Dr. Lin and Dr. Sharma. The article details the allegations of research misconduct and retaliation.
Source: STAT News, statnews.com
February 14, 2024
Houston Chronicle Reports on the Lawsuit
The Houston Chronicle publishes "MD Anderson cancer researcher's lawsuit accuses high-profile scientist of taking credit for her work," bringing local media attention to the dispute and expanding public awareness in the Houston area.
Source: Houston Chronicle, houstonchronicle.com
February 17, 2024
STAT News Publishes Sharma's Response
STAT News publishes Dr. Sharma's response to the research credit lawsuit. Sharma disputes the allegations made by Dr. Lin.
Source: STAT News, statnews.com
February 26, 2024
New Documents Shed Light on the Feud
STAT News publishes a follow-up investigation revealing new documents about the MD Anderson dispute, including evidence that the institution tried and failed to resolve the research credit disagreement internally before it escalated to litigation.
Source: STAT News, statnews.com
May 2024
Daily Mail Publishes Extensive Bullying Investigation
The Daily Mail publishes "Top US cancer center MD Anderson is embroiled in a bullying scandal," a detailed investigation into workplace harassment allegations involving Dr. Sharma and Dr. Subudhi. The article describes the culture of fear, specific incidents of abuse, and the institution's failure to act on complaints.
Source: Daily Mail, dailymail.co.uk
2024
Independent Expert Reviews Plagiarism Allegations Against Lin
Dr. Alan Price, former Associate Director for Investigative Oversight at the Office of Research Integrity (HHS), reviews the plagiarism allegations made against Dr. Lin and concludes there is no basis for the claims. His expert review is later included as an appendix in the congressional report.
2024
MD Anderson Reports $43 Million Operating Loss
MD Anderson reports a $43 million operating loss for fiscal year 2024, a dramatic escalation from prior years. The report connects this to the ongoing leadership and governance failures at the institution.
2024
Sovereign Immunity Challenge in Sharma v. Lin
The Texas Attorney General intervenes in the Sharma v. Lin lawsuit, arguing that Dr. Sharma is shielded by sovereign immunity as a state employee. The case (No. 01-24-00730-CV) reaches the Texas Court of Appeals. Dr. Lin's attorney from Holland & Knight challenges this position, potentially creating a significant legal precedent.
2024
MedPage Today and Rama on Healthcare Cover the Dispute
Additional outlets including MedPage Today and Rama on Healthcare publish coverage of the dispute, expanding the story's reach in medical and healthcare professional communities.
Sources: MedPage Today, medpagetoday.com; Rama on Healthcare, ramaonhealthcare.com
January 28, 2026
Texas Lawyer Reports on Sovereign Immunity Precedent
Texas Lawyer publishes "Holland & Knight Lawyer Could Create Precedent With Sovereign-Immunity Challenge," covering the legal significance of Dr. Lin's challenge to sovereign immunity protections for individual state employees accused of personal misconduct.
Source: Texas Lawyer, law.com/texaslawyer
June 2025
Former VP Len Zwelling Publishes Blog on Institutional Decline
Len Zwelling, former Vice President for Research Administration at MD Anderson, publishes a blog post documenting what he describes as significant institutional regression under current leadership. His account is later included as Appendix A of the congressional report.
September 29, 2025
Report Submitted to Congress
A coalition of current and former MD Anderson employees submits a comprehensive report to the House Committee on Energy and Commerce and the Senate Health, Education, Labor, and Pensions Committee. The report documents systemic governance failures, over 50 formal harassment complaints with no disciplinary action, research misconduct, nepotism, and institutional cover-ups. It requests a congressional hearing within 90 days, an independent audit, and federal whistleblower protections for employees at NIH-funded institutions.
On September 29, 2025, this report was submitted to the offices of the House Committee on Energy and Commerce (Congressmembers Brett Guthrie and Frank Pallone) and the Senate Health, Education, Labor & Pensions (HELP) Committee (via staffers for Senators Cassidy and Sanders). The report was also shared directly with NIH Director Jay Bhattacharya. Follow-up submissions were made on October 4, 2025 to additional congressional committee staffers Jay Gulshen and Matt Gallivan to ensure it reached the appropriate parties within each committee.